Back to Subjects

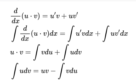
Integration by Parts

Notes

Subject

Subject

Subject

Subject

Subject

Subject

Subject

Subject

Subject

Subject

Subject

Subject

Subject

Subject

Subject

Notes
Practice
Notes
Practice
Notes
Practice

Subject

Notes
Practice

Subject

Notes
Practice

Subject

Notes
Practice
Notes
Practice
Notes
Practice
Notes
Practice
Notes
Practice
Notes
Practice
Notes
Practice
Notes
Practice
Notes
Practice
Notes
Practice
Notes
Practice
Notes
Practice
Notes
Practice
Practice

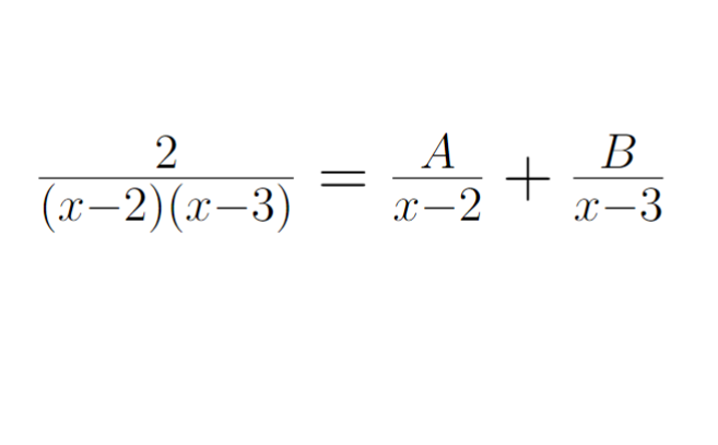
Partial Fraction Decomposition

Notes
Practice

Subject

Notes
Practice